關於伸勇
產品專區
型錄下載
投資人專區
利害關系人專區
人才招募
聯絡我們
English
關於伸勇
產品專區
型錄下載
投資人專區
利害關系人專區
人才招募
聯絡我們
En
首頁
商品介紹
被動元件零件
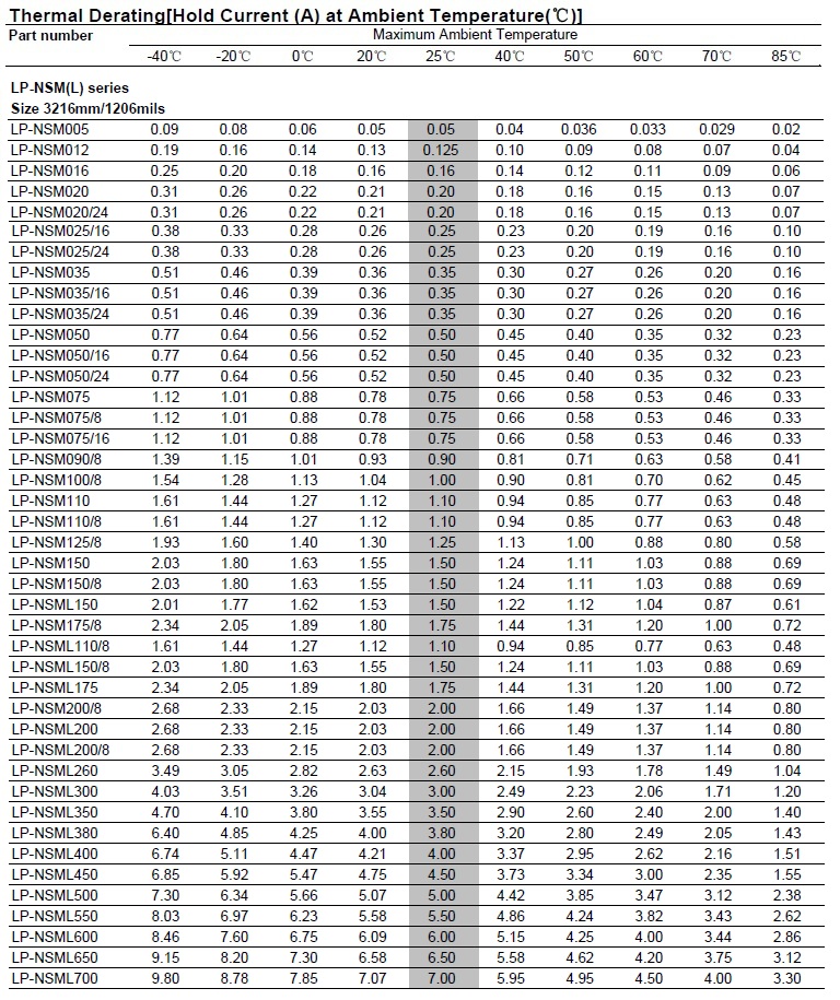
可恢復保險絲【LP-NSM(L) 1206 Series】()
產品簡介
服務-聯絡專線
聯絡人 -
電話 :
信箱 :
傳真 :
地址 :